Applications

General Shiny Applications

The shiny applications below have all been created as part of some of our current projects.

This app allows users to upload and interogate abattoir data, no data
is stored. An example dataset is provided to allow users to experiment 
with the functionality of the app.
Abattoir Inspect

This app allows users to upload and interogate abattoir data, no data is stored. An example dataset is provided to allow users to experiment with the functionality of the app.

No matching items

Aquaculture Applications

The shiny applications below have all been created for our aquaculture projects.

This app allows users to calculate the appropriate number of pens and 
fish to sample to estimate different gill scores, based on an
anticipated mean value. 
Gillhealth Score

This app allows users to calculate the appropriate number of pens and fish to sample to estimate different gill scores, based on an anticipated mean value.

No matching items

Sample Size Calculators

These Shiny applications are all sample size calculators for different situations.

This app contains different calculators to find the sample size needed to:
<ul>
  <li>Detect a disease in a population,</li>
  <li>Estimate a proportion,</li>
  <li>Estimate a mean,</li>
  <li>Compare proportions,</li>
  <li>Compare means.</li>
</ul>
General Sample Size Calculator

This app contains different calculators to find the sample size needed to:

  • Detect a disease in a population,
  • Estimate a proportion,
  • Estimate a mean,
  • Compare proportions,
  • Compare means.

A within herd sample size calculator for designating a herd as 
positive or negative based on a number of animals tested using an imperfect test. 
Also known as "demonstrating freedom of disease".
Within Herd Sample Size

A within herd sample size calculator for designating a herd as positive or negative based on a number of animals tested using an imperfect test. Also known as "demonstrating freedom of disease".

A two stage sample size calculator, which is designed to help design surveys to 
estimate Herd Level Prevalence when the individual test is imperfect.
Two Stage Sample Size Calculator

A two stage sample size calculator, which is designed to help design surveys to estimate Herd Level Prevalence when the individual test is imperfect.

No matching items

Other Calculators

These Shiny applications are calculators for other purposes including estimating true herd prevalence.

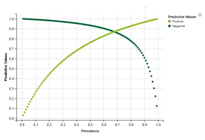
A predictive values calculator, which will calculate the positive and negative 
predictive values, from a given sensitivity and specificity, for a range of 
prevalence estimates.
Predictive Values

A predictive values calculator, which will calculate the positive and negative predictive values, from a given sensitivity and specificity, for a range of prevalence estimates.

A Herd sensitivity/specificity calculator for calculating the herd sensitivity 
and specificity based on the number of animals sampled and the number of 
positive animals at which the herd will be considered positive. As with the 
above calculators this is designed for an imperfect test.
Herd Sensitivity/Specificity

A Herd sensitivity/specificity calculator for calculating the herd sensitivity and specificity based on the number of animals sampled and the number of positive animals at which the herd will be considered positive. As with the above calculators this is designed for an imperfect test.

The number of test positives divided by the number of animals tested gives 
the 'apparent prevalence'. If we know the test sensitivity and specificity 
then we can calculate an estimate for the 'true prevalence' which is what 
this calculator does.
Estimating True Within Herd Prevalence

The number of test positives divided by the number of animals tested gives the 'apparent prevalence'. If we know the test sensitivity and specificity then we can calculate an estimate for the 'true prevalence' which is what this calculator does.

No matching items